Habertürk
    Takipde Kalın!
      Günlük gelişmeleri takip edebilmek için habertürk uygulamasını indirin
        Haberler Gündem Depremde enkaz altından çıkarılanlara su içirmek ölümle sonuçlanabilir!
        11

        Böbrek yetersizliği sadece ağır travmalı olgularda gelişmez. Bazen ilk anda hafif travmalı gibi görünen olgularda da daha sonraki günlerde crush sendromu ve ardından böbrek yetersizliği gelişebilir.

        12

        Ayrıca yıkıma uğrayan kaslardan kan dolaşımına verilen aşırı potasyum, kalbin çalışmasını etkileyerek ritm bozukluklarına, hatta durmasına ve ani ölüme yol açabilir.

        13

        Enfeksiyon da diğer önemli bir bulgu ve ölüm nedeni olarak karşımıza çıkar. En sık travma nedeni ile oluşan açık yaralardan ya da kompartman sendromunun tedavisi için yapılan cerrahi işlem (fasyotomi) alanlarından kaynaklanırlar.

        CRUSH (EZİLME) SENDROMU BELİRTİLERİ İÇİN TIKLAYIN

        14

        CRUSH (EZİLME) SENDROMU NASIL TEDAVİ EDİLİR?

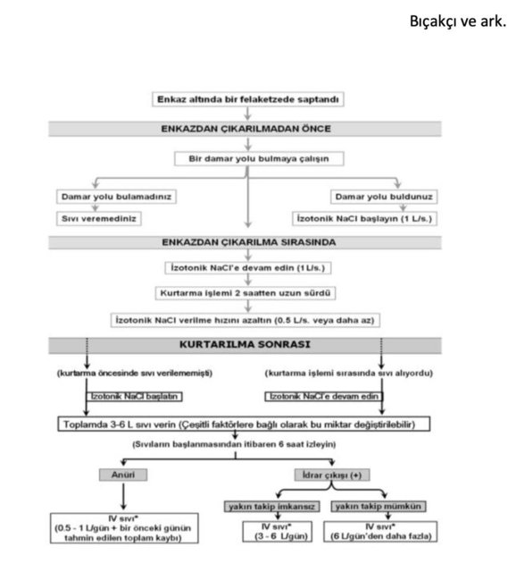
        Crush Sendromunun genel ve böbrekler üzerine olumsuz etkilerini önlemek için çok erken ve hızlı davranmak gerekir. Böyle bir durumdaki hastaya sadece sağlık ekipleri müdahale edebilir. Yıkıntı altında kalmış bir insanın serbest bir uzvu gördüğünde saatte 1-1,5 litre gidecek hızda izotonik NaCl şeklinde serum takılmalıdır. Elektrolit düzeylerine bakma imkanı yoksa asla potasyum içeren sıvılar verilmemelidir.

        15

        Depremzedenin enkazdan tamamen çıkarılması uzarsa, kazazedenin durumuna göre sıvı vermeye devam edilmelidir. Depremzedeyi yıkıntıdan çıkarınca öncelikle idrar çıkarıp çıkarmadığı sorulmalıdır. Şuuru kapalı hastaya idrar sondası takarak ya da en azından iç çamaşırı kontrol edilerek idrar çıkarıp çıkarmadığı kontrol edilmelidir. En kısa sürede hastaneye ulaştırılarak yeterli sıvı elektrolit, antibiyotik tedavisi, tetanos aşısı, fasyotomi denilen kasların baskıdan kurtarılması işlemi uygulanmalıdır.

        16

        Ağızdan verilen su ve benzeri herhangi yiyecek ve içecek Aspirasyon riskine neden oluyor ve ayrıca tehlikeli solunumu düzgünken bozabiliyor. İV hidrasyonun amacı da genelde bu hastalarda ilk saatten itibaren ve daha çok 4-6 saatten sonra görülen crush sendromunun komplikasyonlarından kaçınmak için yapılır.

        17

        Gülerek enkazdan çıkan ama sonra çabucak ölen depremzedeler görülmektedir. Bunun nedeni ise sıkışan hasarlı dokular kaslar kanlanmazken enkazdan çıkıp kanlanmaya başlayınca potasyum miyoglobin laktik asit ve birçok Toxic kana karışmaya ve böbreklere birikmeye başlıyor ve bu da hızlı ölümlere neden oluyor. Bu durumda ölümler ancak damarda topun sıvı tedavisi ile önlenebilir.

        18

        Enkazdan çıkarılan kişilere uygulanan tedavi sırası ise örnekteki gibidir.

        19

        DEPREM SIRASINDA EZİLME SENDROMUNDAN NASIL KORUNURUM?

        Deprem sırasında bina içerisinde iseniz travmaya maruz kalma ve ardından crush sendromu gelişmesi riski taşırsınız. Bu risk daha az olmakla beraber bina dışında da vardır. Korunmak için genel önlemleri Türkiye Deprem Vakfı web sitesinden bulabilirsiniz (turkiyedepremvakfi.org.tr).

        20

        Ancak genel olarak yaşanan depremlerden elde edilen veriler, mutfak ve banyoların en uygun yerler olduğunu göstermektedir. Çünkü enkaz altında kalındığı takdirde, bu bölümlerde hem yaşam üçgeni yaratabileceğiniz unsurlar vardır, hem de patlayan borulardan sızan suyu içerek vücudunuzu crash sendromundan koruyabilme olanağı bulabilirsiniz.

        Haberi Hazırlayan: Hacer Tonay
        GÜNÜN ÖNEMLİ MANŞETLERİ